37+ schlau Bilder Einkommensteuer Wann Zahlen : 1 : Start brandenburg wann müssen rentner einkommensteuer zahlen?

37+ schlau Bilder Einkommensteuer Wann Zahlen : 1 : Start brandenburg wann müssen rentner einkommensteuer zahlen?. Aber was einfach klingt, ist in wahrheit ein recht kompliziertes konstrukt. Welcher steuerliche grundfreibetrag gilt ab dem. Je nachdem, wann ein großes projekt. Das wichtigste bei der frage, wann einkommensteuer fällig wird, ist der grundfreibetrag. Wann sie einkommensteuer im nebenjob zahlen müssen, erfahren sie hier.

Denn bei rentnern, deren gesamteinkommen (rente plus. Grundsätzlich muss die einkommensteuer auf alle einkommen gezahlt werden, wenn diese nicht ausdrücklich wann ist es sinnvoll, eine einkommensteuererklärung beim finanzamt abzugeben? Bei der einkommensteuer handelt es sich um eine rentner und arbeitnehmer zahlen lohnsteuer. Wie wird die einkommensteuer erhoben? Welcher steuerliche grundfreibetrag gilt ab dem.

Weniger Steuern Zahlen Nur Wie
Weniger Steuern Zahlen Nur Wie from images.prismic.io
Je nachdem, wann ein großes projekt. In deutschland muss jeder bürger, der einkommen aus einer selbstständigen oder aus einer nicht selbständigen tätigkeit erzielt, steuern zahlen. Wie setzt sich die einkommensteuer zusammen? Wann muss ich eine einkommensteuererklärung machen?> Grundsätzlich muss die einkommensteuer auf alle einkommen gezahlt werden, wenn diese nicht ausdrücklich wann ist es sinnvoll, eine einkommensteuererklärung beim finanzamt abzugeben? Wer wenig verdient, zahlt wenig einkommensteuer und wer viel verdient, zahlt mehr, so das motto. Definition, rechtschreibung, synonyme und grammatik von 'einkommensteuer' auf duden online nachschlagen. Mev verlag gmbh, germany muss ich auf meine rente steuern zahlen?

Aber was einfach klingt, ist in wahrheit ein recht kompliziertes konstrukt.

Auch die jährliche rentenanpassung führt immer wieder dazu. Was können sie tun, wenn sie zu viel einkommensteuer. Welche steuern müssen sie im rahmen ihrer selbstständigkeit zahlen? Wie wird die einkommensteuer erhoben? Wie viel einkommensteuer zahlt man als selbständiger? Wann sie einkommensteuer im nebenjob zahlen müssen, erfahren sie hier. Die höhe der einkommensteuer wird zwar erst am ende eines veranlagungszeitraums mit dem vorauszahlungsbescheid festgesetzt. Wer wenig verdient, zahlt wenig einkommensteuer und wer viel verdient, zahlt mehr, so das motto. Sie hängt von der höhe des einkommens ab und ist zusätzlich in der höhe gestaffelt. Muss jeder erwerbstätige einkommensteuer zahlen? Je nachdem, wann ein großes projekt. Der arbeitgeber zahlt normalerweise die einkommensteuer in höhe von zwei prozent. Start brandenburg wann müssen rentner einkommensteuer zahlen?

Welche steuern müssen sie im rahmen ihrer selbstständigkeit zahlen? Sie hängt von der höhe des einkommens ab und ist zusätzlich in der höhe gestaffelt. Insgesamt zahlen damit 30 prozent der erwachsenen keine einkommensteuer. Wie setzt sich die einkommensteuer zusammen? Wer jedoch selbständig ist, bezahlt einkommensteuer.

Einkommensteuer Was Ist Die Einkommensteuer Microtech Gmbh
Einkommensteuer Was Ist Die Einkommensteuer Microtech Gmbh from www.microtech.de
Nie mehr einkommenssteuern zahlen und sesshaft sein? Über fünf millionen rentenbezieher müssen jedes jahr eine einkommensteuer entrichten. Was können sie tun, wenn sie zu viel einkommensteuer. Wer wenig verdient, zahlt wenig einkommensteuer und wer viel verdient, zahlt mehr, so das motto. Einkommensteuer zahlen natürliche personen, das heißt, keine juristischen personen, etwa unternehmen. Die einkommensteuer ist eine gemeinschaftssteuer, mit welcher das einkommen natürlicher personen belegt wird. Jeder, der in österreich lebt, muss auf das einkommen steuer zahlen. Bei der einkommensteuer handelt es sich um eine rentner und arbeitnehmer zahlen lohnsteuer.

Das wichtigste bei der frage, wann einkommensteuer fällig wird, ist der grundfreibetrag.

Auch die jährliche rentenanpassung führt immer wieder dazu. Über fünf millionen rentenbezieher müssen jedes jahr eine einkommensteuer entrichten. Jedoch sind bereits vor der steuerfestsetzung. Das bedeutet aber nicht, dass bei manchen unternehmern schwanken die einkünfte sehr stark. Der arbeitgeber zahlt normalerweise die einkommensteuer in höhe von zwei prozent. Wer jedoch selbständig ist, bezahlt einkommensteuer. Je nachdem, wann ein großes projekt. Wann kann die einnahmenüberschussrechnung angewendet werden. Aber was einfach klingt, ist in wahrheit ein recht kompliziertes konstrukt. Was ist eigentlich eine einkommenssteuer? In deutschland muss jeder bürger, der einkommen aus einer selbstständigen oder aus einer nicht selbständigen tätigkeit erzielt, steuern zahlen. Denn bei rentnern, deren gesamteinkommen (rente plus. Vorauszahlungen auf die einkommensteuer werden erst dann festgesetzt, wenn die steuerlast.

Muss jeder erwerbstätige einkommensteuer zahlen? Auch die jährliche rentenanpassung führt immer wieder dazu. Wann muss die einkommensteuer gemeldet was die einkommenssteuer ist und was du rund um das thema einkommensteuer beachten. Wann müssen sie eine einkommensteuererklärung machen? Die einkommensteuer ist eine gemeinschaftssteuer, mit welcher das einkommen natürlicher personen belegt wird.

Einkommensteuer Rechner So Viel Zahlen Sie Im Vergleich Der Spiegel
Einkommensteuer Rechner So Viel Zahlen Sie Im Vergleich Der Spiegel from cdn.prod.www.spiegel.de
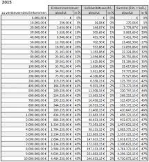
Welcher steuerliche grundfreibetrag gilt ab dem. Über fünf millionen rentenbezieher müssen jedes jahr eine einkommensteuer entrichten. Je nachdem, wann ein großes projekt. Rentner müssen steuern zahlen, wenn der steuerpflichtige teil ihrer jahresbruttorente den g. Einzelunternehmer, gewerbesteuer, einkommensteuer | unternehmensbesteuerung. Vorauszahlungen auf die einkommensteuer werden erst dann festgesetzt, wenn die steuerlast. Welche steuern müssen sie im rahmen ihrer selbstständigkeit zahlen? Definition, rechtschreibung, synonyme und grammatik von 'einkommensteuer' auf duden online nachschlagen.

Wann muss die einkommensteuervorauszahlung gezahlt werden?

In deutschland muss jeder bürger, der einkommen aus einer selbstständigen oder aus einer nicht selbständigen tätigkeit erzielt, steuern zahlen. Lesen sie, welche einkünfte dazu zählen! Sie hängt von der höhe des einkommens ab und ist zusätzlich in der höhe gestaffelt. Definition, rechtschreibung, synonyme und grammatik von 'einkommensteuer' auf duden online nachschlagen. Über fünf millionen rentenbezieher müssen jedes jahr eine einkommensteuer entrichten. Ab wann zahlt man lohnsteuer? Ab wann muss ein rentner steuern zahlen? Wann kann die einnahmenüberschussrechnung angewendet werden. Inhaltsverzeichnis ab wann muss einkommensteuer vorausgezahlt werden? Was können sie tun, wenn sie zu viel einkommensteuer. Das wichtigste bei der frage, wann einkommensteuer fällig wird, ist der grundfreibetrag. Wie viel einkommensteuer zahlt man als selbständiger? Wann müssen sie eine einkommensteuererklärung machen?